一、中国大陆活动地块边界带主要断层10年尺度强震发生概率
1.中国大陆强震复发模型
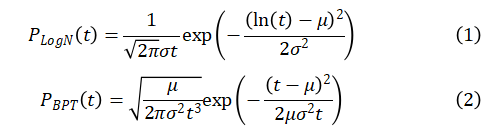
参考Nishenko和Buland(1987)的方法建立归一化中国大陆强震复发模型。以前人整理的环太平洋地震带和中国大陆地震间隔为基础(Nishenko and Buland, 1987; 闻学泽, 1999b),选择其中基于历史地震确定的地震间隔,以断层地震间隔算数平均作为该断层的平均复发周期,再根据地震复发间隔与平均复发周期的比值给出该断层的离逝率。根据上述数据与方法,共获得了69个离逝率结果。统计检验表明,中国大陆板内与环太平洋板缘两种构造环境的复发间隔经验分布没有显著区别(闻学泽, 1999b),因此本文以69个离逝率结果为样本,选择对数正态(LogN)与布朗过程时间(BPT)两种概率密度函数进行拟合,公式分别为:

其中t代表离逝率,μ代表平均周期,由于已经过归一化,因此在对数正态函数中其值为1,在布朗过程时间函数中其值为0;σ代表地震间隔的集中程度,需要通过拟合获得,对于本文涉及的两种概率密度函数,当σ从0逐渐增大时,地震复发模式均按周期、准周期、泊松、丛集的顺序发生变化。

图1 环太平洋地震带和中国大陆离逝率与拟合结果
A, 离逝率与概率密度; B, 累积概率
图1给出了离逝率的分布、累积频率与两种概率密度函数的拟合结果,由图1可见,强震发生时对应的离逝率主要集中在1附近,其上限和下限分别为0.5和1.7,表明断层强震活动具有较好的周期性。拟合结果表明中国大陆强震离逝率符合μ=0,σ=0.2228的对数正态分布或μ=1,σ=0.2411的布朗时间过程分布。两种概率密度函数的拟合结果相近,由于缺少其他限制条件,因此赋予两种概率密度函数相同的权重,通过加权求和获得累积概率和条件概率结果,公式分别为:

其中CDFLogN与CDFBPT分别代表对数正态分布与布朗时间过程分布的累积概率,t1与t2分别为预测时段开始时间与结束时间对应的离逝率。
2.中国大陆活动地块边界带主要断层强震离逝率的确定
基于环太平洋地震带和中国大陆地震离逝率分布建立中国大陆强震复发模型后,即可根据断层的归一化离逝时间计算强震概率。邵志刚等(2022)基于地震地质资料将中国大陆活动地块边界主要活动断层分为391个断层段,并给出了强震破裂空段、断层运动速率和闭锁率等分析结果。本文以此为基础对391个断层段的强震概率进行预测。通过查阅资料共找到了254个断层段的强震复发周期和231个断层段的强震离逝时间资料,分别占总数的65%和59%。研究涉及的391个断层段中,200个断层段同时具有两类资料,105个断层段同时缺乏两类资料。对于缺乏一类或两类资料断层段,本文使用相应方法对其强震复发周期和强震离逝时间进行推测。
2.1 强震平均复发周期的补充
弹性回跳理论认为地震是岩石先前积累应力突然释放的结果,应力积累的速率可能会影响平均复发周期。因此,本研究同时收集了各断层段基于地震地质方法确定的断层运动速率,并分析其与平均复发周期的关系。结果表明,断层强震平均复发周期与运动速率具有较好的对数线性关系,断层运动速率越快则复发周期越短(图2A)。通过拟合两类数据,获得了断层强震平均复发周期与运动速率的经验关系式:log10T=-0.0842S+3.494,其中T为强震平均复发周期,单位为年,S为断层运动速率,单位为mm/a。

图2 断层段运动速率与平均复发周期的经验关系
A, 地震地质运动速率与平均复发周期的关系; B, 大地测量方法与地震地质方法获得的断层走滑速率对比
对于缺乏强震平均复发周期记录的断层段,可以使用上述经验关系式推断强震平均复发周期,然而由于资料的限制,部分缺乏强震平均复发周期记录的断层段也没有地震地质方法确定的断层运动速率。为此,以Zheng等(2017)发表的GPS水平速度场为约束,在计算中剔除误差较大的GPS站点速率,依据391个断层段的分布,分区建立断层连接元模型(王阎昭等, 2008),假定所有断层倾角均为90°,闭锁深度为15km,反演给出了各断层段的运动速率。图3B给出了各断层段两种运动速率的对比,由图3B可见,大地测量方法给出的断层运动速率与地震地质方法结果较为接近,差距大多在2mm/a以内。在现有条件下可以使用大地测量方法给出的断层运动速率来近似地震地质运动速率,因此对于缺乏强震平均复发周期记录与地震地质运动速率的断层段,结合大地测量方法给出的运动速率与经验公式计算强震平均复发周期。综合记录结果与推断结果,给出了391个断层段的强震平均复发周期(图3)。

图3 中国大陆活动地块边界带主要断层391个断层段强震平均复发周期
实线代表记录结果,虚线代表推测结果
图4给出了不同区域平均复发周期的概率密度曲线,结合图3和图4可见,各区域强震平均复发周期都呈现单峰式分布,与中国大陆地震活动特征有较好的一致性。西部地区断层段平均复发周期较短,其中青藏高原具有最短的平均复发周期,集中在500年左右,川滇地区和青藏高原东北缘次之,分别集中在800年与1000年左右,仅有元谋断裂与红河断裂平均的复发周期较长(Allen et al., 1984; 徐锡伟等,2014; 卢海峰, 2015),新疆地区集中在2500年左右;东部地区断层段平均复发周期较长,集中在3500年左右。川滇地区、青藏高原东北缘、新疆地区和大陆东部补充后平均复发周期与记录平均复发周期的概率密度没有显著区别,而青藏高原地区补充后平均复发周期与记录结果的概率密度曲线存在差异。这主要是因为青藏高原内部断层相关资料较少,复发周期主要基于大地测量资料进行推测,反演得到的青藏高原内部断层运动速度大多高于图2A中的速度范围。说明断层运动速度-强震复发周期关系式可能需要增加高速度样本,但目前青藏高原内部断层研究程度相对较低,还难以提供所需要的数据。由于补充后复发周期范围与记录结果一致,且青藏高原内部缺乏记录数据限制,因此仍使用目前补充结果进行强震预测。

图4 不同区域断层段强震平均复发周期的概率密度曲线
左侧为代表记录复发周期结果,右侧为记录与推测复发周期结果
2.2 断层强震离逝时间的补充
强震离逝时间是时间相关地震概率预测中的重要参数,但并非所有断层都有记录,从而给区域强震概率预测造成了困难。针对这一问题,Field和Jordan(2015)给出了地震离逝时间具有下限时地震离逝时间分布的表达式:

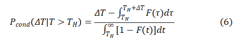
其中τ代表地震离逝时间,TH代表地震离逝时间下限,即在之前至少TH的时长内未发生目标地震,F为复发周期概率密度函数的累积概率函数。在此基础上,Field和Jordan(2015)给出了这种情况下预测时段内地震条件概率的表达式:

其中ΔT为预测时长。
Field和Jordan的方法在第三版加州地震破裂综合预测模型得到了应用(Field et al., 2015),因此本文也参考其方法来处理缺乏地震离逝时间的断层,并根据研究内容对其进行完善,一方面根据式(5)给出仅有离逝时间下限时的累积概率表达式:

另一方面,使用各断层段强震平均复发周期对离逝时间下限和预测时长进行归一化处理,以适应离逝率概率密度函数(图5)。

图5 归一化离逝时间期望与累积概率
A, 归一化离逝时间期望随归一化离逝时间下限的变化; B, 同一归一化时长作为离逝时间和离逝时间下限时累积概率对比
(均使用μ=0,σ=0.2228的对数正态分布和μ=1,σ=0.2411的布朗时间过程分布)
黄玮琼等(1994)、徐伟进和高孟潭(2014)给出了我国不同地区地震目录完整性起始时间研究的研究结果,对于缺乏离逝时间资料的断层段,根据其所在分区获得地震目录完整性起始时间,进而计算其地震离逝时间的下限,从而对离逝时间进行补充(图6)。

图6 中国大陆活动地块边界带主要断层391个断层段强震离逝时间
实线代表记录结果,虚线代表根据式(5)获得的假设地震为BPT分布时离逝时间的期望
由图6可见,强震离逝时间资料的完整性具有与复发周期资料完整性类似的空间分布,青藏高原记录较为缺乏,东部地区记录较为完整,其他地区记录的完整性处于中等水平。根据记录与推断的强震平均复发周期与离逝时间,即可获得各断层段的离逝率(图7)。由图7可见,离逝率在0.5到1.0之间的断层段最多,其次是离逝率0.5以下的断层段,这些断层段有记录以来大多发生过7级以上地震,强震危险性较低。

图7 中国大陆活动地块边界带主要断层391个断层段强震离逝率
实线代表记录结果,虚线代表推测结果(平均复发周期和/或离逝时间为推测)
3.中国大陆活动地块边界带主要断层强震累积概率和条件概率
根据断层平均复发周期与强震离逝时间的记录情况,可将断层分为四类,即:二者均有记录;强震离逝时间有记录,平均复发周期为推断;平均复发周期有记录,强震离逝时间为推断;二者都没有记录。对于前两种情况,可结合强震离逝时间与记录或推断的平均复发周期给出离逝率,进而根据式(3)和式(4)给出相应的概率;对于后两种情况,则分别根据式(6)和式(7)给出相应的概率。根据上述方法,分别给出了中国大陆活动地块边界主要断层段未来10年的强震累积概率与条件概率(图8)。


图8 中国大陆活动地块边界带主要断层未来10年强震概率
A, 累积概率; B, 条件概率
由图8可见,未来10年,中国大陆强震累积概率较高的断层段主要集中于川滇菱形地块东边界、青藏高原东北缘、鄂尔多斯地块东边界和西北边界。此外,天山地区和喜马拉雅弧部分断层段也具有较高的累积概率。高累积概率断层段的空间分布与高离逝率断层段较为一致。青藏高原及其周边断层段具有最高的强震条件概率,其他断层段的条件概率随着与青藏高原距离的增加而降低,中国大陆西部强震条件概率高于东部,整体上呈现与强震平均复发周期负相关的特征,而与离逝率的相关性不明显。
二、基于贝叶斯方法对中国大陆强震复发模型的优化
各国进行地震长期概率预测时,通常会选择几种概率密度函数,或者为同一概率密度函数选择不同参数组成强震概率模型,使用不同概率密度函数分别计算概率,再将不同结果综合给出最终结果。例如:美国加州地震概率工作组(Working Group on California Earthquake Probabilities, WGCEP)在旧金山湾区进行长期概率预测时,选择了泊松、经验、时间可预测、布朗过程时间和分步布朗过程时间5种概率密度函数,通过专家投票方式确定个断层不同概率密度函数的权重(WGCEP, 2003);在第三版加州地震破裂预测模型时间相关概率结果中,则是以逻辑树的方式综合了3种周期性不同的布朗过程时间概率结果和泊松概率结果,逻辑树分支的权重依然通过专家投票方式确定(Field et al., 2015)。日本也使用布朗过程时间分布进行概率预测,以日本南海海槽为例,日本地震调查研究推进总部一方面根据南海海槽历史地震和同震位移等确定概率密度函数的参数计算概率,另一方面也使用陆域活断层通用复发模型中的周期性参数计算概率,将二者分别作为概率的上限与下限。我国主要使用对数正态分布与布朗时间过程分布计算概率,将不同概率密度函数的结果进行平均得到最终概率(闻学泽等, 2017; 王芃等, 2022)。
可见,建立强震概率模型需要确定两类参数,一是概率密度函数的参数,二是概率密度函数的权重。前者可以通过历史地震或古地震目录直接获取,也可以通过断层滑动速率、地震矩等间接求取(邓起东等,2004),有较多的数据基础;而后者的确定方式则偏主观,这主要是因为单一断层强震记录有限,不同概率密度函数可能有类似的拟合效果,导致难以评判。贝叶斯方法是处理这一问题的理想方法,以观测资料为限制,计算不同参数的后验概率,可以获得与观测资料最为相符的参数分布;当存在多种概率密度函数时,贝叶斯方法还可以给各概率密度函数的权重(MacKay, 2003)。Fitzenz等(2010)就使用该方法确定了死海断层Jordan Valley段不同概率密度函数的参数与权重。以中国大陆活动地块边界主要断层391个断层段为研究对象,通过贝叶斯方法建立中国大陆强震复发模型,进而对强震概率进行预测。
1.数据和方法
1.1 归一化强震复发间隔
单一断层通常缺乏足够的强震记录,导致概率密度函数有较大不确定性甚至无法确定,针对这一问题,Nishenko和Buland(1987)将环太平洋地震带不同断层离逝率资料整体作为一个样本,建立环太平洋地震带通用离逝率经验分布。这一方法初步解决了建立离逝率概率密度函数时样本不足的问题,得到了广泛的应用(WCECP, 1988; 闻学泽, 1999; 李正芳等, 2012)。本文收集环太平洋地震带强震复发间隔(Nishenko and Buland, 1987)和中国大陆活动断层强震复发间隔(闻学泽, 1999),选择其中基于历史地震确定的强震复发间隔,再计算各断层强震复发间隔的算数平均作为该断层的平均复发周期,最后根据各断层强震复发间隔与对应的平均复发周期之比给出各断层的归一化复发间隔。根据上述数据与方法,共得到了69个归一化复发间隔(图9)。

图9 断层归一化复发间隔分布
闻学泽(1999)基于统计检验指出环太平洋地震带与中国大陆的归一化复发间隔分布没有显著区别,因此本文综合两类归一化复发间隔建立地震复发模型。由图1可见,归一化复发间隔主要集中在1附近,其上限和下限分别为0.5和1.7,具有较好的周期性。
1.2 概率密度函数的选择
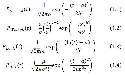
选择正态(Normal)、韦布尔(Weibull)、对数正态(LogN)与布朗过程时间(BPT)四种双参数概率密度函数来表示归一化复发间隔(式1),其中参数a代表强震平均复发间隔(正态、韦布尔与布朗过程时间分布)或其对数(对数正态分布),由于地震间隔已归一化,因此正态、韦布尔与布朗过程时间分布的a设为1,对数正态分布的a设为0;参数b代表地震间隔的周期性,对于对数正态与布朗过程时间分布,b越小则周期性越明显,b越大则丛集性越明显,而韦布尔分布反之,正态分布则表现出不同程度的周期性(图10)。


图10 各概率密度函数取不同参数时的概率密度曲线
A, a=1的正态分布; B, a=1的韦布尔分布; C, a=0的对数正态分布; D, a=1的布朗过程时间分布
1.3 概率密度函数参数的后验分布
由于使用归一化复发间隔,式(1)中各概率密度函数的a值均已确定,而b值未知,假设b∈[b1, b2],根据贝叶斯公式,有:

其中P(bcandi|D)为后验概率,代表观测数据为D时b=bcandi的可能性;P(bcandi)为先验概率,代表参数的初始分布,在无其他资料约束的情况下通常使用均匀分布;P(D|bcandi)为似然,代表b=bcandi时观测到数据D的可能性;P(D)为证据,代表概率相应密度函数观测到数据D的概率,根据全概率公式,有:

设观测数据D中有n个归一化复发间隔,则可使用下式计算bcandi的似然:

其中ti代表第i个归一化复发间隔,P(ti|bcandi)为b=bcandi时观测到归一化复发间隔ti的概率,在确定概率密度函数参数后验分布时,由于所有可能参数的后验概率均使用式(2)计算,且P(D)为常数,因此可以忽略。
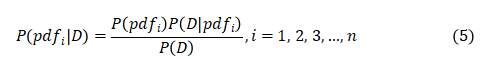
1.4 概率密度函数权重的确定
与概率密度函数参数的后验分布确定方式类似,可以使用贝叶斯方法确定概率密度函数的后验概率作为其权重,假设有n种概率密度函数,根据贝叶斯公式,有:

其中P(pdfi|D)代表观测数据为D时选择第i个概率密度函数的可能性;P(pdfi)代表第i个概率密度函数的初始权重,在无其他资料约束的情况下通常使用等权重;P(D|pdfi)为似然,代表选择第i个概率密度函数时观测到数据D的可能性;P(D)为代表观测到数据D的概率,首先使用式(3)和式(4)计算某一概率密度函数的P(D),再求和获得,理论上式(4)中的P(ti|bcandi)是概率密度函数在ti附近区间的积分,但与确定概率密度函数参数后验分布类似,概率密度函数权重均通过式(5)计算,其中P(D)为常数,使用P(D|pdfi)的相对大小就可以表示权重,因此可使用概率密度函数在ti处的概率密度代替式(4)中的P(ti|bcandi)。
获得各概率密度函数的后验概率后,将其归一化即可得到各概率密度函数的权重Wi:

1.5 强震复发模型与相关概率计算公式
根据上述方法获得各概率密度函数变异参数后验分布和权重后,即可建立强震复发模型:

其中n为概率密度函数个数,Wi为第i个概率密度函数的权重,bi为第i个概率密度函数参数的可能取值,Pbi为第i个概率密度函数参数为bi的后验概率,t为离逝率, pdfi为代表参数为bi的第i个概率密度函数。
地震概率预测结果主要有累积概率和条件概率两种表现形式。累积概率表示离逝率低于指定数值的可能性,即某时间前发生地震的概率,随着目标时间对应离逝率的增加而增大;条件概率则表示地震发生在指定预测时段内的可能性,由离逝率和预测时段长度共同决定,其中预测时长的影响较大。根据概率密度函数权重结果,累积概率和条件概率的计算公式分别为:

其中Pcum为累积概率,Pcond为条件概率,Wi为第i个概率密度函数的权重,t1和t2分别为预测起始时间和预测结束时间对应的离逝率,cdfi为第i个概率密度函数的累积概率:

其中cdfbi为第i个概率密度函数参数为bi时的累积概率,其他各参数的含义同式(7)。
计算特定断层强震概率时,需要断层强震离逝率作为输入。强震离逝率根据强震平均复发间隔和强震离逝时间计算,理论上二者都可以断层地震目录获得,但由于实际资料的限制,部分断层可能无法获得上述信息。强震平均复发间隔的补充方法较多,例如根据断层运动速率和同震位移进行推测等,而离逝时间的补充相对困难,往往仅能确定断层在以往一定时间内无强震发生。针对这种情况,Field和Jordan(2015)给出了强震离逝时间下限时强震离逝时间的分布和条件概率计算公式,其结果在第三版加州地震破裂综合预测模型得到了应用(Field et al., 2015)。结合其结果和本文的强震复发模型,在断层强震具有强震离逝时间下限时,离逝时间分布、累积概率和条件概率的计算公式分别为:

其中t为离逝时间,TH为离逝时间下限,P(t|t≥TH)为离逝时间分布,Pcum为累积概率,Pcond为条件概率,Wi为第i个概率密度函数的权重,ΔT为预测时长,cdfij为第i个概率密度函数参数为bij时的累积概率,Pij为第i个概率密度函数参数为bij的后验概率。
2.结果
2.1 中国大陆强震复发模型
以0到10之间的均匀分布作为四种概率密度函数中b值的先验分布,并认为各概率密度函数拥有相同的初始权重,使用第二节的数据和方法获得了对应的后验概率(图11),由于除韦布尔分布外其他三种概率密度函数b的分布范围较小,因此在相应曲线图中增加了局部图像。由图3可见,正态、韦布尔、对数正态与布朗过程时间四种分布后验概率最大的b值分别为0.2185,4.1941,0.2225和0.2238,均表明研究涉及的地震具有较好的周期性。

图11 各概率密度函数参数b的后验分布
A, a=1的正态分布; B, a=1的韦布尔分布; C, a=0的对数正态分布; D, a=1的布朗过程时间分布;bpmax, 后验概率密度最高的b值;P(D), 后验概率密度曲线积分结果
各概率密度函数b值后验概率曲线的形状也较为接近,而但证据存在区别,韦布尔分布的证据最小,与其他三种分布存在数量级上的区别,因此不作为中国大陆强震复发模型的备选概率密度函数。其余三种分布证据相对接近,其中布朗过程时间分布的证据最大而正态分布的证据最小,前者约为后者的2.4倍,表明布朗过程时间分布的拟合效果最好,但也不占绝对优势,因此使用正态、对数正态与布朗过程时间建立中国大陆强震复发模型。通过将三种概率密度函数的证据归一化,可获得各概率密度函数的权重:正态分布0.202,对数正态分布0.315,布朗过程时间分布0.483(图12)。

图12 选择后验概率最大参数的概率密度函数与综合结果
A, 离逝率与概率密度; B, 累积概率
2.2 中国大陆活动地块边界主要断层强震预测结果
王芃等(2022)给出了中国大陆活动地块边界带主要断层未来10年强震概率,使用相同的数据和强震复发周期补充方法,并根据强震实际情况对2024年新疆乌什7.1级地震发震断层的强震离逝率进行更新后,根据前文的模型计算了中国大陆活动地块边界带主要断层2026~2035年的强震累积概率和条件概率。


图13 中国大陆活动地块边界带主要断层2026~2035年强震概率
A, 累积概率; B, 条件概率
由图13可见,2026~2035年,中国大陆强震累积概率较高的断层段主要集中于川滇菱形地块东边界、青藏高原东北缘、鄂尔多斯地块东边界和西北边界。此外,天山地区和喜马拉雅弧部分断层段也具有较高的累积概率。青藏高原及其周边断层段具有最高的强震条件概率,其他断层段的条件概率随着与青藏高原距离的增加而降低,中国大陆西部强震条件概率高于东部,这与中国大陆西部强震复发周期短于东部有关。
2.3 与之前模型预测结果的对比
使用与王芃等(2022)一致的数据和预测时段,根据前文模型计算了中国大陆活动地块边界带主要断层的强震累积概率和条件概率,并对比两种模型的结果。由图14可见,两种模型的结果整体上比较接近,绝大多数差值都小于1%,这与王芃等(2022)模型中概率函数参数和权重均与本文模型接近有关。累积概率的一致性高于条件概率,差值大部分都小于0.5%,最大也不超过1.1%;本文模型的条件概率普遍超过王芃等(2022)模型结果,还有部分断层概率差值超过1%,在条件概率数值普遍较小的情况下,这种差异更为突出。特别是4条断层的条件概率差值超过5%,这4条断层的共同点是离逝率较高,均超过2,其中条件概率相差最大的3条断层均位于青藏高原,强震记录缺乏,强震平均复发周期和离逝时间分别通过大地测量方法获得断层运动速率和区域地震完整时间推测,这3条断层的运动速率较高,可能与约束较差有关,导致强震复发周期较短,从而具有较高的条件概率。

图14 两种模型结果对比(本文模型结果减去王芃等(2022)模型结果)
A, 累积概率; B, 条件概率
引用信息:王芃等,2026,解剖地震:中国大陆活动地块边界带主要断层10年尺度强震发生概率(doi:https://dx.doi.org/10.12484/jpdz.ycs.2026021)





